Exponents: Practice Questions

  1. A. xa2+ b2+c2
    B. 1
    C. 0
    D. None of these

  2. A. 1
    B. 0
    C. ax+y+z
    D. None of these
    Suggested Action:
    Kickstart Your CAT-MBA Journey with FREE Live Masterclasses from the Test Prep Experts!
    Register Now

  3. 3x=7y=(21)2
    Find the relation b/w x, y and z where x, y and z ≠ 0.
    A. z=xy
    B. z=x+y
    C. z=(xy/x+y)
    D. None of these

  4. Find the value of √6+√6+√6+---∞
    A. 3
    B. 10
    C. -2
    D. None of these

  5. Among the 21/3, 31/4, 51/6, 61/12 which one is greater.
    A. 21/3
    B. 31/4
    C. 51/6,
    D. 61/12

  1. If (p/q)x-4 = (q/p)x-8 , find value of x
    A. 3
    B. 4
    C. 5
    D. 6

  2. If 3a = 2187 find the value of 32a – 10
    A. 9
    B. 27
    C. 3
    D. 81

  3. 52x – 3 =53123 find value of x
    A. 2
    B. 3
    C. 1
    D. -4

    Suggested Action:
    Get CAT-MBA Free 20+ Tests & 100+ Videos, eBooks & more to boost your prep.
    Sign Up Now
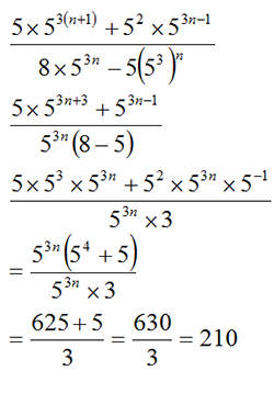
  4. A. 120
    B. 210
    C. 270
    D. None of these

  5. Simplify ((16)-9/4 × (125)3)-1/3
    A.1/20
    B. 20
    C. 10
    D. 2/5

Rate Us
Views:83099